WACC คือ
Weighted Average Cost of Capital (WACC) คือต้นทุนเฉลี่ยของกิจการ หรือพูดให้เข้าใจง่ายๆในฝั่งของนักลงทุนว่าเป็นผลตอบแทนที่คาดหวังจากบริษัทนั้นๆนั่นเอง ซึ่งจะมาจากส่วนของเงินลงทุน (captial) ประกอบด้วย หนี้สิน, หุ้นบุริมสิทธิ, และหุ้นสามัญ โดยมีสูตรคำนวณดังนี้
kd = Cost of Debt (ต้นทุนจากหนี้สิน)
ต้นทุนของบริษัทในการไปกู้เงินมาลงทุน (kd) ก็คืออัตราดอกเบี้ย (Interest expense) ที่บริษัทต้องจ่ายให้กับเจ้าหนี้นั่นเอง อย่างไรก็ตามดอกเบี้ยสามารถลดหย่อนโดยใช้ภาษีเงินได้นิติบุคคลได้ สูตรจึงออกมาเป็น ซึ่งภาษีเงินได้นิติบุคคลของประเทศไทยจะอยู่ที่ 20%
kps = Cost of Preferred Stock (ต้นทุนจากหุ้นบุริมสิทธิ)
หุ้นบุริมสิทธิเป็นหุ้นในรูปแบบที่เราไม่ค่อยได้เห็นกันบ่อยๆ โดยเป็นหุ้นที่มีนโยบายการจ่ายปันผลคงที่เหมือนกับเงินกู้ แต่ผู้ถือหุ้นชนิดนี้ก็ถือว่าเป็นเจ้าของร่วมของบริษัทเหมือนถือหุ้นสามัญด้วยเช่นกัน มีสูตรคำนวณดังนี้
kce = Cost of Common Stock (ต้นทุนจากหุ้นสามัญ)
เป็นผลตอบแทนที่คาดว่าจะได้รับจากการถือหุ้นสามัญ หุ้นที่มีค่าเบต้า (β) สูง จะยิ่งให้ผลตอบแทนที่สูงเช่นกัน โดยค่าเบต้าบ่งบอกถึงระดับความเสี่ยงเมื่อเทียบกับตลาด ในการคำนวณหาต้นทุนจากหุ้นสามัญ เราจะใช้สมการ Capital Asset Pricing Model (CAPM) ดังนี้
วิธีการคำนวณ WACC
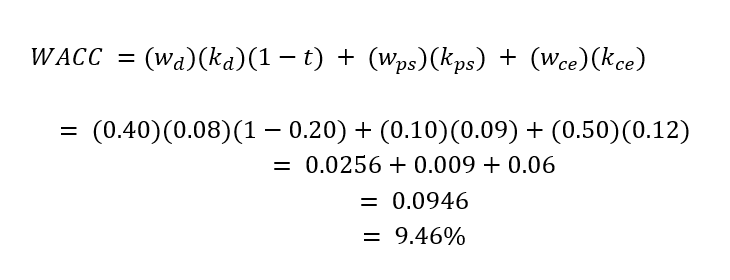
เมื่อเรารู้สัดส่วนของเงินลงทุนแต่ละประเภทของบริษัท และคำนวณผลตอบแทนจากต้นทุนต่างๆออกมาได้แล้ว เราก็จะสามารถหาผลตอบแทนเฉลี่ย (WACC) ของหุ้นออกมาได้ ยกตัวอย่างเช่น หุ้น A มีโครงสร้างเงินลงทุนเป็นเงินกู้ 40%, หุ้นบุริมสิทธิ 10% และหุ้นสามัญ 50% โดยบริษัทจ่ายดอกเบี้ยเงินกู้ 8%, มีผลตอบแทนจากหุ้นบุริมสิทธิ 9%, มีผลตอบแทนจากหุ้นสามัญ 12%, และจ่ายภาษีเงินได้นิติบุคคล 20% จะสามารถคำนวณ WACC ออกมาได้ดังนี้
หลังจากที่คำนวณ WACC ออกมาได้แล้ว เราสามารถนำไปใช้เป็น Discount rate ในการประเมินมูลค่าหุ้นด้วยวิธี Discounted Cash Flow (DCF) ต่อไปได้ ซึ่งเราจะมาสอนวิธีการประเมินมูลค่าหุ้นในบทความถัดๆไป
ประเมินมูลค่าหุ้นด้วยวิธี DCF ทำอย่างไร? เหมาะกับหุ้นแบบไหน?










![ทฤษฎี Elliott Wave (อีเลียตเวฟ) คืออะไร [แบบละเอียด] ทฤษฎี Elliott Wave](https://www.lucid-trader.com/wp-content/uploads/2020/12/ทฤษฎี-Elliott-Wave-218x150.png)

![ทฤษฎี Wyckoff Logic คืออะไร [แบบละเอียด] Wyckoff Logic](https://www.lucid-trader.com/wp-content/uploads/2020/10/Wyckoff-Logic-218x150.png)




